overleaf template galleryLaTeX templates — Recent
LaTeX templates for journal articles, academic papers, CVs and résumés, presentations, and more.

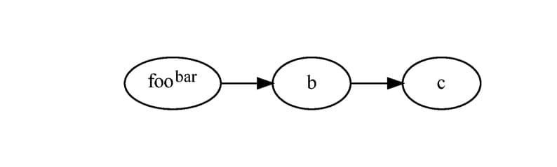
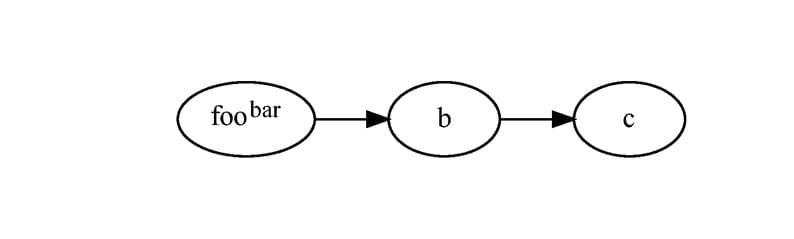
An example of the graphviz package, which uses dot in the background to draw graphs. Add \usepackage[pdf]{graphicx} to get HTML-like labels working.

A simple and stylized curriculum vitae template.

Template for IUCr conference abstracts. For more information, please see IUCR's instructions.

坂東研 (量子情報研究室) の卒論テンプレートです.

This template is used for the usual presentation in school of mathematics, Jilin Univesity. Wish you guys a fantastic presentation. Just fighting for days~

This is a LaTeX template which meets the style guide for the PhD thesis for the University of Newcastle, Australia.

Encontrei este modelo no site do Mestrado Profissional em Matemática em Rede Nacional: https://www2.uepg.br/profmat/documentos/

A simple thesis template to write a doctoral thesis for UPN students.

Iowa State University LaTeX template for thesis and dissertation, traditional format
\begin
Discover why over 25 million people worldwide trust Overleaf with their work.