overleaf template galleryLaTeX templates and examples — Recent
Discover LaTeX templates and examples to help with everything from writing a journal article to using a specific LaTeX package.

Latex template for special sessions in MCQMC 2024.

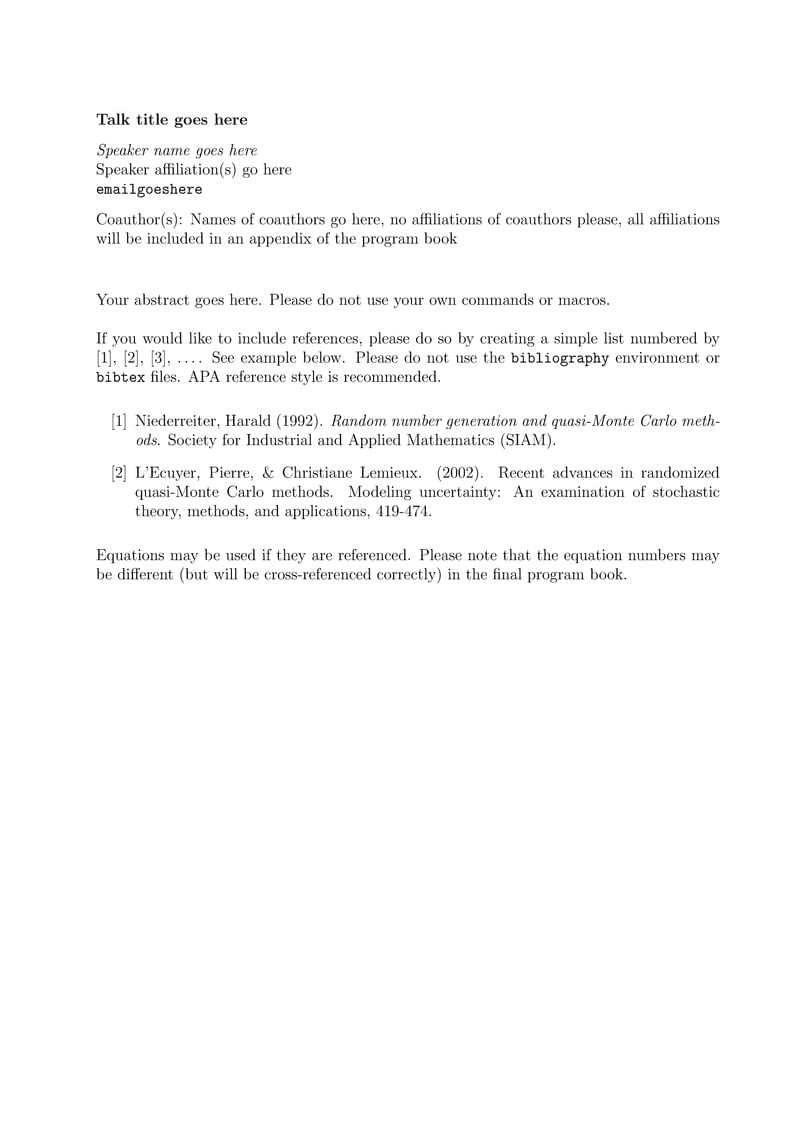
Latex template for contributed and invited talks in MCQMC 2024.

Template for submitting 2-page summary paper to CPEM 2024 conference following recommended formatting to be submitted to IEEE Xplore database.

A simple cv template primarily intended for students applying to research positions at the Complexity Science Hub (Vienna, Austria)

An example thesis template for SETU.

Thesis layout for University of Paris Cité PhD Thesis

Thesis template of the Kiel Computer Science Series (KCSS). Overleaf template is based on the source code maintained by Sören Domrös (Embedded Systems, Dept. of Computer Science, Kiel University) at: https://git.informatik.uni-kiel.de/kcss/kcss-style.

The University of Hong Kong (HKU) Beamer Template

A simple TeX template for the CUHK thesis. Source code hosted at GitHub Repo: https://github.com/zfengg/CUHKthesis
\begin
Discover why over 20 million people worldwide trust Overleaf with their work.